国标GB29620-2013《砖瓦工业大气污染物排放标准》自2016年7月1日起实施以来,就已经测试的若干条烧砖隧道窑来说,还没有一条烟气污染物排放全面达标的,有的超标还很严重。砖瓦行业正面临巨大的“环保”压力。
为此,本人就如何提高烟气洁净程度谈些看法:
1从源头抓起,避免或减少原、燃材料中污染物的含量。这样做,即使窑内排放出来的烟气仍然满足不了标准要求,也会大大降低其治理的难度。
由于氟化物对人体及动植物等的危害性很大,约为SO2危害性的20倍。国标中规定其最高允许排放浓度值非常小,烟气中氟化物含量一旦超标,要使其降下来的难度很大。故凡是氟化物含量超标的原、燃材料最好不用。
2 “内燃烧砖法”是我国砖瓦工作者的一个创举。对用煤等固体燃料焙烧普通砖来说,和“外燃烧砖法”相比,具有焙烧速度快、节省燃料(有的砖厂反应:1kg内燃料相当于2kg外燃料作用)等优点。凡是内燃烧砖的窑,应采用高内燃或全内燃,少投煤或不投煤,更不要向窑内喷细煤粉,以尽量减少烟气中污染物含量,尤其是减少含尘量。
3凡采用并列式一次码烧工艺的,应将干燥窑和焙烧窑的进车端门由单层改为双层。某干燥窑测定结果:每进一车门的开启时间为1min,吸入的外界空气约为2200m3(焙烧窑亦如此),加之单层门密封不严,每个门每小时吸入的外界空气约为1万m3以上,明显增加了烟气中的含氧量,给后期烟气净化增加难度。用了双层门后就可以堵绝在此处吸入外界空气。
4焙烧窑应采用较小的边隙和顶隙。有些厂的焙烧窑的边隙和顶隙偏大(达到100mm以上),由此处流过大量不参与助燃的空气(有的占进风量的70%以上)使得烟气中的含氧量大幅度增加,故要求边隙和顶隙尽量小一些,不要超过80mm,最好为50mm左右(国外有的为40mm),以减少空气由此处流过量。
5无论是干燥窑还是焙烧窑,均应采用窑车上下压力平衡技术,以免负压段的车下空气吸入车上,这样做不但可减少窑内空气含氧量,而且可使窑的横断面温度趋于均匀,从而降低热耗、提高产品的产量和质量。
6应重视窑体的保温、防漏,并制定先进、合理的热工制度,以提高热效率。理论计算,生产1kg产品,耗热只有210kcal左右(包括湿坯体干燥和制品焙烧)。但有的1kg产品热耗高达400kcal,甚至500kcal以上,热效率仅为40%左右,太低。须知,节省热能不但可减少污染物排放,而且可降低生产成本,一举两得。
7成型后的湿坯体“静停”一段时间。在环境温度大于零度等条件允许的情况下,让成型后的湿坯体先在厂房内阴干一段时间,使之缓慢地蒸发一些水分,这种做法被人们称为湿坯体的“静停”。静停的好处之一是坯体中的水分向临界水分接近了一些,较平安地渡过水分蒸发初期(容易产生干燥缺陷的危险期),有利于提高坯体质量;好处之二是减少热能消耗,从而也减少了污染物的生成量。
8生产空心制品。和生产实心制品相比,生产空心制品可节省热能消耗,制品的孔洞率越高则越节省热能。减少了煤耗也就减少了污染物的排放。
9不把外界粉尘带入窑内。砂封槽中的砂子理想粒度为5mm~7mm的粗颗粒占30%,1mm~5mm的细颗粒占70%。不宜加入过细的颗粒及粉尘,以防在排烟口附近的过细砂及粉尘被吸入烟道,增加烟气含尘量。另外,窑车在使用前应清扫车面,不让粉尘带入窑内,也可减少烟气含尘量。
10焙烧窑的烟气不用作湿坯体的干燥介质
将焙烧窑的烟气直接送往净化设备处理后排出,而湿坯体的干燥介质采用焙烧窑的窑尾清洁的余热气体(或加窑皮换热气体)。
如果烟气送往干燥窑作为湿坯体的干燥介质,使用后排出的烟(湿)气将有如下变化:(1)氧含量明显增加;(2)湿含量明显增加;(3)温度明显下降。这些变化都会增加对其净化的难度。
由于各砖厂的热工系统千差万别,故变化程度有所不同。为了说明问题,特举一例,以便推而广之。
已知某页岩砖厂:
(1)产量:1万块普通砖/h;
(2)坯体成型相对含水率:15%;
(3)湿坯体质量:3.3kg/块;
(4)热工工艺:并列式一次码烧隧道窑;
(5)湿坯体干燥介质:烟气;
(6)进干燥窑的烟气温度:130℃;
(7)进干燥窑的烟气体积:13万m3/h;
(8)出干燥窑的烟(湿)气温度:45℃。
计算结果和结论:
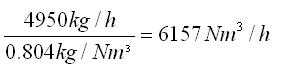
(1)每小时湿坯体带入水分的质量为3.3kg/块×15%×10000块/h=4950kg/h
(2)查表1可知,水蒸气的体积密度为0.804kg/Nm3,故这些水汽化后在标准状态下的体积为:

这些水蒸气45℃时的体积为:

(3)由表2查得,水在45°c时的汽化热为570kcal/kg,故这些水汽化的理论热耗为:
4950kg/h×570kcal/kg=2821500kcal/h
折合标煤:
说明:这些水大部分是在干燥窑内汽化的,还有少部分(坯体中的残余水分)是在焙烧窑内汽化的。这里只当作全部在干燥窑内汽化。
(4)在干燥窑的负压段被排潮风机吸入的空气为26000Nm3/h(其中从进车端单层门处吸入的为13000Nm3/h),由表1查得,空气在标准状态下的体积密度为1.293kg/Nm3,故这些空气的质量为:26000Nm3/h×1.293kg/Nm3=33618kg/h
这些空气在45°c时的体积为:

(5)干燥窑内气体体积增加量:
标准状态下:6157Nm3/h+26000Nm3/h=32157Nm3/h
45°c时:7172m3/h+30286m3/h=37458m3/h
(6)干燥窑内气体质量增加量:
4950kg/h+33617kg/h=38568kg/h
(7)由表3查得,烟气在130°c时的体积密度为0.876kg/m3
故烟气的质量为:130000m3/h×0.876kg/m3=113880kg/h
(8)烟气在45°c时的体积为:

(9)干燥窑内气体质量增加百分数:

(质量增加较大)
(10)45°c时,干燥窑内的排出气体的体积:37458m3/h+102581m3/h=140039m3/h
(11)干燥窑内气体体积增加百分数:

(体积增加很小)
(12)由表4查得,烟气在130°c时的比热容为0.212Kcal/m3·℃;烟气的热量为:130000m3/h×130℃×0.212Kcal/m3·℃=3582800Kcal/h
折合标煤:
(13)烟气的热量用于蒸发湿坯体中的全部水分,刚好平衡,其热效率为:
(14)烟气直接送往净化设备处理,湿坯体的干燥介质采用焙烧窑的窑尾余好的好处是:
①由于烟气排放量的减少,从而降低了其净化处理的难度,节省了净化处理的费用;
②由于烟气中湿含量的大幅度降低,明显减少了除雾器的工作量及由湿气带出去的粉尘,提高了除尘效率;
③避免了干燥窑的出车端倒出烟气而恶化工人操作环境;
④由于采用了焙烧窑的窑尾清洁的余热气体作为湿坯体的干燥介质,含SO2的烟气不进入干燥窑,彻底挽回了由于H2SO4雾腐蚀排潮风机、干燥车(窑车)、管道等金属件而造成的经济损失。
不足之处:
①将增加煤耗25~30%,否则用于湿坯体干燥的热量不足;
②凡已建成用烟气干燥湿坯体的厂,如改用余热气体干燥,需增加抽、送余热气体系统。在实施前应做好可行性研究,以免效果不佳。
11 努力提高烟气脱硫设施的脱硫效率
由于钠钙双碱法脱硫具有如下优点:①NaOH溶液作SO2吸收剂,动力消耗少;②NaOH吸收剂的再生和脱硫副产品石膏沉淀在塔外进行,减少了塔内结垢的可能性;③脱硫效率较高,一般大于90%。故它广泛地用于砖窑烟气的脱硫。
就当前使用情况看,脱硫效果参差不齐。凡是效果较好的,均制定了合理的操作规程,并严格执行;凡是效果较差的,均无章可循,操作马虎、随意。
现特列出一些主要参数,供砖厂制定操作规程时参考:
(1)测定烟气的流量(Nm3/h);
(2)测定烟气中含硫量(mg/Nm3);
(3)测定烟气中含尘量(mg/Nm3);
(4)控制进脱硫塔(吸收塔)烟气的温度<90℃(应低于制塔有机材料的最高耐热温度);
(5)控制烟气在塔内流速为:3~3.5m/s;
(6)控制烟气在塔内脱硫区停留的时间为:≥3s;
(7)确定塔的内径(m);
(8)确定塔的脱硫区高度(m);
(9)确定钠碱与水的质量比(固液比)为:10:90~15:85;
(10)确定钠碱吸收剂与烟气比(液气比)为:>5L/m3;
(11)确定塔内喷淋层数为:3~4层;
(12)确定喷淋雾滴大小:在允许的情况下,应适当小一些,以利增加液滴与烟气接触面积。但过小又会随气流带出塔外,不但造成钠碱损失,而且污染周边环境;
(13)确定喷淋雾滴覆盖率为:200%~300%;
(14)确定经NaOH吸收剂吸收的SO2后的循环液PH值为:5.0~8.0;
(15)确定经再生后的NaOH溶液返回塔的PH值为:9~10;
(16)确定石灰脱硫剂的有关指标
①有效氧化钙含量:>75%
②石灰浆液细度:200目筛余<10%
③钙硫比:>1
④在反应池中CaSO3氧化成CaSO4时间:≥2h;
(17)塔的出口烟气中雾滴的浓度(经除雾器除雾后):<75mg/m3;
(18)石灰储存仓中石灰的储量:≥7天
(19)确定各个池子的设置
①碱水池(亦称清水池)一般设2个。用于补充水和NaOH(烧碱)片;
②沉淀池(亦称循环池、回水池)一般设2个。用于NaOH吸收剂吸收SO2成为Na2SO3的一部分循环液(另一部分送至塔上方循环用)停留,停留时间为5~10min;
③反应池(亦称再生池、置换池、搅拌池)一般设2个。用于将可溶性Na2SO3、NaHSO3和Ca(OH)2进行置换反应,生产CaSO3,并使NaOH得以再生。在鼓风机和搅拌机的作用下,使CaSO3和氧气进一步反应,生成CaSO4(石膏)副产品,该池的容积应满足2h的氧化时间。为了使其彻底氧化,在此期间,应保持氧/硫摩尔比≥1.5,以免出现未氧化的CaSO3溶液被送进塔的过程中氧化成CaSO4沉淀,从而堵塞管道。
④石灰制浆池一般设2个。最少满足8h用量。
(20)控制好PH值。安装PH计测量循环液的PH值,以便及时自动补充NaOH溶液(在运行过程中,可能导致钠碱损失的原因:其一是,NaSO3氧化的副产品Na2SO4沉淀不能再回收;其二是,由塔出口烟气中带出一些Na2SO3和NaHSO3液滴)。另一个PH计测量再生后的NaOH溶液的PH值,以便及时自动加入石灰浆液。确保脱硫系统长期正常运行。
12 加强管理,环环把关。
各种气体的摩尔质量和在标准状态下的体积密度如表1所示。
表1 气体的摩尔质量和在标准状态下的体积密度

水在不同温度下的汽化热如表2所示。
表2 水在不同温度下的汽化热

不同温度的空气体积密度如表3所示。
表3 不同温度的空气体积密度

表3 不同温度的空气体积密度
不同温度干空气(烟气)的体积密度及比热容如表4所示。
表4 不同温度干空气(烟气)的体积密度及比热容

参考文献:
〔1〕马岸奇,邹基,雷功博.砖瓦行业脱硫系统设计存在的问题及探讨〔J〕砖瓦,2016(12):4-7.
〔2〕王红梅. 适用于砖瓦行业的双碱法脱硫技术,砖家,2016(12)21-24.
〔3〕赵镇魁 烧结砖瓦生产应知应会600问〔M〕.北京:中国建材工业出版社.2013.
版权所有:【河南欧帕工业机器人有限公司】
本站所有内容受知识产权保护 未经许可严禁转载、复制或建立镜像
中心地址:河南省郑开大道官渡组团 联系电话:0371-60863533
豫ICP备14017777号-3 营业执照 河南省互联网违法和不良信息举报中心

