最新信息更多>>
- 166.什么是理想气体状态方程?
- 添加日期:2014/2/24 11:55:33 浏览次数:0 作者:
-
所谓理想气体是没有黏性的气体,也就是没有能量损失,没有因摩擦而转变为热能。
一定质量的理想气体,其压强和体积的乘积与热力学温度的比值是一个常数。即:

上述公式中的常数决定于气体的摩尔数;各种气体在压强不太大、温度不太低的情况下,近似地遵循理想气体状态方程;在应用理想气体状态方程解题时,要注意统一单位。
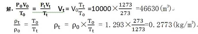
例:将V0为10000m3,T0为0℃的空气送入加热器中加热,当空气在标准状态下的密度ρ0为1.293kg/Nm3时,求空气加热至Tt为1000℃时的体积Vt和密度ρt。

版权所有:【河南欧帕工业机器人有限公司】
本站所有内容受知识产权保护 未经许可严禁转载、复制或建立镜像
中心地址:河南省郑开大道官渡组团 联系电话:0371-60863533
豫ICP备14017777号-3 营业执照 河南省互联网违法和不良信息举报中心
